碗扣式模板支架计算书---pkpm软件_行业动态_新闻动态-铭筑科技

碗扣式模板支架计算书---pkpm软件

来源:福建铭筑科技有限公司   发布时间: 2019-04-18   查看次数:7825次

碗扣式梁模板钢管支架计算书

 

依据规范:

《建筑施工碗扣式钢管脚手架安全技术规范》JGJ166-2016

《建筑施工模板安全技术规范》JGJ 162-2008

《建筑结构荷载规范》GB50009-2012

《钢结构设计标准》GB50017-2017

《混凝土结构设计规范》GB50010-2010

《建筑地基基础设计规范》GB50007-2011

计算参数:

碗扣式支架立杆钢管强度为205.00N/mm2,水平杆钢管强度为205.00 N/mm2,

钢管强度折减系数取1.00。

架体结构重要性系数取1.00。

模板支架搭设高度为4.0m,

梁截面 B×D=700mm×1500mm,立杆的纵距(跨度方向) l=0.60m,脚手架步距 h=1.50m,

钢管规格:Φ48.3×3.5;

立杆钢管类型选择:LG-A-240(2400);

横向水平杆钢管类型选择:SPG-90(900);

纵向水平杆钢管类型选择:SPG-90(900);

梁底增加3道承重立杆。

面板厚度15mm,剪切强度1.4N/mm2,抗弯强度17.0N/mm2,弹性模量9000.0N/mm2。

内龙骨采用方钢管50.×50.×3.mm。

梁底支撑顶托梁长度    0.60m。

梁顶托采用方钢管50.×50.×3.mm。

梁底按照均匀布置承重杆3根计算。

模板自重0.50kN/m2,混凝土钢筋自重25.50kN/m3。

施工均布荷载标准值2.50kN/m2,堆放荷载标准值0.00kN/m2。

地基承载力标准值170kN/m2,基础底面扩展面积0.250m2,地基承载力调整系数0.40。

扣件计算折减系数取1.00。

                        

           碗扣式梁模板支撑架立面示意图

按照碗扣新规范4.3条规定确定荷载组合分项系数如下:

由可变荷载效应控制的组合S=1.2×(25.50×1.50+0.50)+1.40×2.50=50.000kN/m2

由永久荷载效应控制的组合S=1.35×25.50×1.50+0.7×1.40×2.50=54.088kN/m2

由于永久荷载效应控制的组合S最大,

永久荷载分项系数取1.35,可变荷载分项系数取0.7×1.40=0.98

 

钢管惯性矩计算采用 I=π(D4-d4)/64,抵抗距计算采用 W=π(D4-d4)/32D。

一、模板面板计算

 

面板为受弯结构,需要验算其抗弯强度和刚度。模板面板的按照多跨连续梁计算。

作用荷载包括梁与模板自重荷载,施工活荷载等。

1.荷载的计算:

 

(1)钢筋混凝土梁自重(kN/m):

    q1 = 25.500×1.500×0.600=22.950kN/m

 

(2)模板的自重线荷载(kN/m):

    q2 = 0.500×0.600×(2×1.500+0.700)/0.700=1.586kN/m

 

(3)活荷载为施工荷载标准值与堆放产生的荷载(kN):

 

经计算得到,活荷载标准值 P1 = (2.500+0.000)×0.700×0.600=1.050kN

 

均布荷载 q = 1.35×22.950+1.35×1.586=33.123kN/m

集中荷载 P = 0.98×1.050=1.029kN

 

面板的截面惯性矩I和截面抵抗矩W分别为:

本算例中,截面惯性矩I和截面抵抗矩W分别为:

截面抵抗矩 W = 26.25cm3;

截面惯性矩 I = 19.69cm4;

        

                        计算简图

        

                        弯矩图(kN.m)

        

                        剪力图(kN)

变形的计算按照规范要求采用静荷载标准值,受力图与计算结果如下:

        

                        变形计算受力图

        

                        变形图(mm)

经过计算得到从左到右各支座力分别为

        N1=3.014kN

        N2=9.093kN

        N3=9.093kN

        N4=3.014kN

最大弯矩 M = 0.198kN.m

最大变形 V = 0.011mm

(1)抗弯强度计算

经计算得到面板抗弯强度计算值 f = γ0M/W = 1.000×0.198×1000×1000/26250=7.543N/mm2

面板的抗弯强度设计值 [f],取17.00N/mm2;

面板的抗弯强度验算 f < [f],满足要求!

 

(2)抗剪计算

截面抗剪强度计算值 T=3Q/2bh=3×4714.0/(2×700.000×15.000)=0.673N/mm2

截面抗剪强度设计值 [T]=1.40N/mm2

面板抗剪强度验算 T < [T],满足要求!

 

 

(3)挠度计算

面板最大挠度计算值 v = 0.011mm

面板的最大挠度小于600.0/250,满足要求!

 

二、梁底支撑龙骨的计算

(一)梁底次龙骨计算

 

按照三跨连续梁计算,计算公式如下:

均布荷载 q = P/l = 9.093/0.600=15.155kN/m

最大弯矩 M = 0.1ql2=0.1×15.16×0.60×0.60=0.546kN.m

最大剪力 Q=0.6ql = 0.6×0.600×15.155=5.456kN

最大支座力 N=1.1ql = 1.1×0.600×15.155=10.003kN

龙骨的截面力学参数为

本算例中,截面惯性矩I和截面抵抗矩W分别为:

截面抵抗矩 W = 8.34cm3;

截面惯性矩 I = 20.85cm4;

 

(1)龙骨抗弯强度计算

 

抗弯计算强度 f = M/W = 0.546×106/8339.7=65.42N/mm2

龙骨的抗弯计算强度小于215.0N/mm2,满足要求!

 

(2)龙骨抗剪计算

 

最大剪力的计算公式如下:

                        Q = 0.6ql

截面抗剪强度必须满足:

                        T = 3Q/2bh < [T]

截面抗剪强度计算值 T=3×5455.98/(2×50.00×50.00)=3.274N/mm2

截面抗剪强度设计值 [T]=125.00N/mm2

龙骨的抗剪强度计算满足要求!

 

(3)龙骨挠度计算

 

挠度计算按照规范要求采用静荷载标准值,

均布荷载通过变形受力计算的最大支座力除以龙骨计算跨度(即龙骨下小横杆间距)

得到q=10.496kN/m

最大变形v=0.677ql4/100EI=0.677×10.496×600.04/(100×206000.00×208492.0)=0.214mm

龙骨的最大挠度小于600.0/400(木方时取250),满足要求!

 

托梁的计算

托梁按照集中与均布荷载下多跨连续梁计算。

均布荷载取托梁的自重 q= 0.060kN/m。

        

                    托梁计算简图

        

                    托梁弯矩图(kN.m)

        

                    托梁剪力图(kN)

变形的计算按照规范要求采用静荷载标准值,受力图与计算结果如下:

        

                    托梁变形计算受力图

        

                    托梁变形图(mm)

经过计算得到最大弯矩 M= 0.522kN.m

经过计算得到最大支座 F= 14.618kN

经过计算得到最大变形 V= 0.029mm

顶托梁的截面力学参数为

截面抵抗矩 W = 8.34cm3;

截面惯性矩 I = 20.85cm4;

(1)顶托梁抗弯强度计算

 

抗弯计算强度 f = M/W = 0.522×106/1.05/8339.7=59.61N/mm2

顶托梁的抗弯计算强度小于215.0N/mm2,满足要求!

(2)顶托梁挠度计算

 

最大变形 v = 0.029mm

顶托梁的最大挠度小于300.0/400,满足要求!

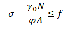
三、立杆的稳定性计算

 

不考虑风荷载时,立杆的稳定性计算公式

 

 

        

 

其中 N —— 立杆的轴心压力设计值,它包括:

        横杆的最大支座反力 N1=14.62kN (已经包括组合系数)

        脚手架钢管的自重 N2 = 1.35×0.354=0.477kN

         N = 14.618+0.477=15.095kN

     φ —— 轴心受压立杆的稳定系数,由长细比 l0/i 查表得到;

      i —— 计算立杆的截面回转半径 (cm);i = 1.59

      A —— 立杆净截面面积 (cm2); A = 4.93

      W —— 立杆净截面抵抗矩(cm3);W = 5.15

     σ —— 钢管立杆抗压强度计算值 (N/mm2);

    [f] —— 钢管立杆抗压强度设计值,[f] = 205.00N/mm2;

      l0 —— 计算长度 (m);

参照《碗扣式规范》,由公式计算

        立杆计算长度:l0 = ku(h+2a)

     k—— 立杆计算长度附加系数,依据规范根据架体高度取值为1.155;

     u —— 立杆计算长度系数,依据规范根据架体步距可取值为1.100;

     a —— 立杆上端伸出顶层横杆中心线至模板支撑点的长度;a = 0.20m;

根据规范规定:立杆计算长度计算时,a可按0.65m取值,再根据实际a值采用承载力线性插值得到。

承载力线性插值系数 k0 = (1.0-1.2)/(0.65-0.2) × (0.20-0.2) + 1.2 =1.20

  l0=3.557m;λ=3557/15.9=223.913,    φ=0.146

根据承载力线性插值得到:

     σ=(1.00×15095)/(0.146×492.6)/1.20=174.512N/mm2,不考虑风荷载时,立杆的稳定性计算 σ< [f],满足要求!

 

 

考虑风荷载时,立杆的稳定性计算公式为:

        

风荷载设计值产生的立杆段弯矩 MW计算公式

                 MW=1.4×0.6Wklah2/10

其中  Wk ——  风荷载标准值(kN/m2);

        Wk=0.300×0.600×0.600=0.108kN/m2

      h —— 立杆的步距,1.50m;

      la —— 立杆纵向(跨度方向)间距,0.60m;

      lb —— 立杆横向间距,0.60m;

      Nw —— 考虑风荷载时,立杆的轴心压力最大值;

风荷载产生的弯矩 Mw=1.4×0.6×0.108×0.600×1.500×1.500/10=0.012kN.m;

风荷载设计值产生的立杆段轴力 Nwk计算公式

        

其中  MTk —— 模板支撑架计算单元在风荷载作用下的倾覆力矩标准值(kN.m),由公式计算:MTk = 0.5H2lawfk + HlaHmwmk

      B —— 模板支撑架横向宽度(m);

      n —— 模板支撑架计算单元立杆横向跨数;

      Hm —— 模板支撑架顶部竖向栏杆围挡(模板)的高度(m)。

        MTk = 0.108×4.0×0.60×(0.5×4.0+0.80)=0.726kN.m

        Nwk = 6×8/(8+1)/(8+2)×(0.726/6.00)=0.065kN

        立杆Nw = 14.618+1.350×0.354+1.4×0.6×0.065=15.150kN

根据承载力线性插值得到:

     σ=1.00×(15150/(0.146×492.6)+12000/5149)/1.20=177.121N/mm2,考虑风荷载时,立杆的稳定性计算 σ< [f],满足要求!

 

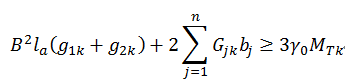
四、梁模板支架整体稳定性计算

依据规范JGJ166-2016,碗扣式模板支架应进行整体抗倾覆验算。

支架的抗倾覆验算应满足下式要求:

        MT<MR

式中: MT-支架的倾覆力矩设计值;

MR-支架的抗倾覆力矩设计值。

        

 

抗倾覆力矩:

MR=6.0002×0.600×(0.983+0.500)+2×(0.000×6.000×0.600)×6.000/2=32.012kN.m

倾覆力矩:

MT=3×1.000×0.726 = 2.177kN.m

 碗扣支架整体抗倾覆验算 MT < MR,满足整体稳定性要求!

五、基础承载力计算

立杆基础底面的平均压力应满足下式的要求

    pk=N/Ag ≤ γufa

其中  pk —— 脚手架立杆基础底面处的平均压力设计值,pk =N/Ag=60.38 (kPa)

      N —— 上部结构传至基础顶面的轴向力设计值 N = 15.10kN

      Ag —— 基础底面面积 (m2);Ag = 0.25

      γu —— 永久荷载和可变荷载分项系数加权平均值,γu = 1.363

     fa —— 地基承载力设计值 (kN/m2);fa = 68.00

地基承载力设计值应按下式计算

                   fa = mf × fak

其中  mf —— 脚手架地基承载力调整系数;mf = 0.40

     fak —— 地基承载力标准值;fak = 170.00

地基承载力的计算满足要求!

碗扣式梁模板钢管支撑架计算满足要求!

计算书摘自pkpm安全设施计算软件。安全计算软件介绍链接:http://www.ijlsoft.com/goods/view/27